Preview

Дифференцированный подход к предоперационной подготовке пациентов с различным кардиоваскулярным риском при местнораспространенном раке органов брюшной полости

https://doi.org/10.22328/2413-5747-2023-9-4-72-84

Аннотация

ВВЕДЕНИЕ. Злокачественные новообразования органов брюшной полости часто приводят к обострению кардиоваскулярных заболеваний либо являются триггером их развития. Только правильная оценка кардиоваскулярного риска позволяет провести эффективную подготовку к операции, выбрать оптимальный вариант хирургического вмешательства и снизить вероятность осложнений в послеоперационном периоде.


ЦЕЛЬ. Изучить возможности дифференцированного подхода к дополнительной предоперационной подготовке при хирургическом лечении местнораспространенного рака органов брюшной полости у пациентов с различной степенью кардиоваскулярного риска.


МАТЕРИАЛ И МЕТОДЫ. На первом этапе был проведен ретроспективный анализ результатов планового хирургического лечения 250 пациентов при стандартном подходе к предоперационному обследованию и подготовке. На втором этапе у 101 пациента был апробирован модифицированный алгоритм дополнительного предоперационного обследования, в котором акцент сделан на лиц с невысоким кардиоваскулярным риском. Период наблюдения не превышал 30 сут. Стратификацию периоперационного кардиоваскулярного риска проводили путем расчета индексов RCRI и NSQIP-MICA. Статистическую обработку результатов осуществляли с помощью пакетов прикладных программ Statistica 12.5 (StatSoft, США).


РЕЗУЛЬТАТЫ. Стандартный подход к предоперационной подготовке сопровождался достаточно высокой летальностью в раннем послеоперационном периоде (18,4 %). Большинство (54,3 % по шкале RCRI и 69,5 % по шкале NSQIP-MICA) летальных исходов приходилось на пациентов среднего кардиоваскулярного риска. Реализация дифференцированного алгоритма дополнительного предоперационного обследования позволила снизить частоту послеоперационных осложнений в 2,1–5,9 раза, сроки нахождения пациентов в отделении реанимации в 1,4 раза и госпитальную летальность в 2,3 раза (до 7,9 %).


ОБСУЖДЕНИЕ. Предлагаемый алгоритм ориентирован на наиболее проблемную подгруппу пациентов со средним кардиоваскулярным риском: 1 фактор риска по шкале RCRI и/или сниженный (неопределенный) функциональный статус, которые при стандартной подготовке к операции имеют такие же шансы на неблагоприятный исход, как и у лиц с высокой коморбидностью.


ЗАКЛЮЧЕНИЕ. Использование валидированных методик оценки периоперационного риска, дифференцированный подход к дополнительному обследованию и рациональная фармакотерапия позволяют снизить госпитальную летальность пациентов с местнораспространенным раком органов брюшной полости.

Об авторах

Рафик Джабараилович Кучев
Военно-медицинская академия имени С. М. Кирова
Россия

преподаватель кафедры военно-морской хирургии 



Константин Сергеевич Шуленин
Военно-медицинская академия имени С. М. Кирова
Россия

доктор медицинских наук, доцент, полковник медицинской службы, заместитель начальника кафедры военно-морской терапии



Иван Анатольевич Соловьев
Военно-медицинская академия имени С. М. Кирова
Россия

доктор медицинских наук, профессор, доцент кафедры военно-морской хирургии



Дмитрий Александрович Суров
Военно-медицинская академия имени С. М. Кирова
Россия

доктор медицинских наук, доцент, полковник медицинской службы, начальник кафедры военно-морской хирургии



Михаил Сергеевич Коржук
Военно-медицинская академия имени С. М. Кирова
Россия

доктор медицинских наук, профессор, профессор кафедры военно-морской хирургии



Владимир Юрьевич Филиппов
Военно-медицинская академия имени С. М. Кирова
Россия

кандидат медицинских наук, доцент, подполковник медицинской службы, доцент кафедры военно-морской терапии



Марк Сергеевич Тюрюпов
Военно-медицинская академия имени С. М. Кирова
Россия

слушатель ординатуры



Дмитрий Константинович Шуленин
Военно-медицинская академия имени С. М. Кирова
Россия

студент



Список литературы

1. Беджанян А. Л. Хирургическое лечение онкологических больных пожилого и старческого возраста с сопутствующей сердечно-сосудистой патологией // Клиническая и экспериментальная хирургия. Журнал имени академика Б. В. Петровского. 2020. Т. 8, № 4. С. 35–42 [Bejanyan A. L. Surgical treatment of elderly and senile cancer patients with concomitant cardiovascular pathology. Clinical and experimental surgery. Journal named after Academician B.V. Petrovsky, 2020, Vol. 8, No. 4, pp. 35–42 (In Russ.)]. doi: 10.33029/2308-1198-2020-8-4-35-42

2. Измайлов А. Г., Доброквашин С. В., Волков Д. Е. и др. Концепция профилактики и лечения послеоперационных раневых осложнений у хирургических больных // Практическая медицина. 2017. Т. 107, № 6. С. 50–54 [Izmailov A. G., Dobrokvashin S. V., Volkov D. E., et al. The concept of prevention and treatment of postoperative wound complications in surgical patients. Practical medicine, 2017, Vol. 107, No. 6, pp. 50–54 (In Russ.)].

3. Заболотских И. Б., Трембач Н. В., Магомедов М. А. и др. Возможности предоперационной оценки риска неблагоприятного исхода абдоминальных операций: предварительные результаты многоцентрового исследования STOPRISK // Вестник интенсивной терапии им. А.И. Салтанова. 2020. № 4. С. 12–27 [Zabolotskikh I. B., Trembach N. V., Magomedov M. A., et al. Possibilities of preoperative assessment of the risk of an unfavorable outcome of abdominal operations: preliminary results of the STOPRISK multicenter study. Bulletin of Intensive Care named after A. I. Saltanov, 2020, No. 4, pp. 12–27 (In Russ.)]. doi: 10.21320/1818-474X-2020-4-12-27

4. Котова Д. П., Котов С. В. Особенности послеоперационных осложнений терапевтического профиля при проведении оперативных вмешательств разной категории сложности // Лечебное дело. 2020. № 3. С. 52–59 [Kotova D. P., Kotov S. V. Features of postoperative complications of therapeutic profile during surgical interventions of different complexity. Medical business, 2020, No. 3, pp. 52–59 (In Russ.)]. doi: 10.24412/2071-5315-2020-12257

5. International Surgical Outcomes Study group. Global patient outcomes after elective surgery: prospective cohort study in 27 low-, middle- and high-income countries // British Journal of Anaesthesia, 2017, Vol. 119, No 3, pp. 553. doi: 10.1093/bja/aew472.

6. Herrmann J. From trends to transformation: where cardio-oncology is to make a difference. European Heart Journal, 2019, Vol. 40, No 48, pp. 3898–3900. doi: 10.1093/eurheartj/ehz781

7. Имаев Т. Э., Комлев А. Е., Акчурин Р. С. Хирургия сердца и сосудов у онкологических больных – новый вызов гибридной хирургии // Кардиоваскулярная терапия и профилактика. 2019. Т. 18, № 4. С. 99–104 [Imaev T. E., Komlev A. E., Akchurin R. S. Surgery of the heart and blood vessels in cancer patients – a new challenge of hybrid surgery. Cardiovascular surgery and prevention, 2019, Vol. 18, No. 4, pp. 99–104 (In Russ.)]. doi: 10.15829/1728-8800-2019-4-99-104

8. Kristensen S., Knuuti J., Saraste A., et al. 2014 ESC/ESA Guidelines on non-cardiac surgery: cardiovascular assessment and management. European Heart Journal, 2014, Vol. 35, No 41, pp. 2873–2926. doi:10.1093/eurheartj/ehu281

9. Alrezk R., Jackson N., Al Rezk M., et al. Derivation and Validation of a Geriatric-Sensitive Perioperative Cardiac Risk Index. Journal of the American Heart Association, 2017, Vol. 11, No 6, pp. e006648. doi: 10.1161/jaha.117.006648

10. Соколов Д. А., Любошевский П. А., Староверов И. Н. и др. Постгоспитальные сердечно-сосудистые осложнения у больных, перенесших некардиохирургические операции // Вестник анестезиологии и реаниматологии. 2021. Т. 18, № 4. С. 62–72 [Sokolov D. A., Lyuboshevsky P. A., Staroverov I. N., et al. Posthospital cardiovascular complications in patients who underwent cardiac surgery. Bulletin of Anesthesiology and resuscitation, 2021, Vol. 18, No. 4, pp. 62–72 (In Russ.)]. doi: 10.21292/2078-5658-2021-18-4-62-72

11. Кучев Р. Д., Шуленин К. С., Соловьев И. А. и др. Сопоставление результатов предоперационной оценки кардиоваскулярного риска и исходов хирургических вмешательств по поводу местнораспространенного рака органов брюшной полости // Вестник Российской военно-медицинской академии. 2022. Т. 24, № 4. С. 727–736 [Kuchev R. D., Shulenin K. S., Soloviev I. A., et al. Comparison of the results of preoperative assessment of cardiovascular risk and outcomes of surgical interventions for locally advanced abdominal cancer. Bulletin of the Russian Military Medical Academy, 2022, Vol. 24, No. 4, pp. 727–736 (In Russ.)]. doi: 10.17816/brmma113042

12. Козлов И. А, Овезов А. М., Пивоварова А. А. Снижение риска периоперационных осложнений при кардиальной коморбидности // Вестник анестезиологии и реаниматологии. 2020. Т. 17, № 2. С. 38–48 [Kozlov I. A., Ovezov A. M., Pivovarova A. A. Reducing the risk of perioperative complications in cardiac comorbidity. Bulletin of Anesthesiology and Resuscitation, 2020, Vol. 17, No. 2, pp. 38–48 (In Russ.)]. doi: 10.21292/2078-5658-2020-17-2-38-48

13. Smilowitz N., Berger J. Рerioperative cardiovascular risk assessment and management for noncardiac surgery. Journal of the American Medical Association, 2020, Vol. 324, No 3, pр. 279. doi: 10.1001/jama.2020.7840

14. Jammer I., Wickboldt N., Sander M., et al. Standards for definitions and use of outcome measures for clinical effectiveness research in perioperative medicine. European Journal of Anaesthesiology, 2015, Vol. 32, No 2, pp. 88–105. doi: 10.1097/eja.0000000000000118

15. Davis C., Tait G., Carroll J., et al. The Revised Cardiac Risk Index in the new millennium: a single-centre prospective cohort re-evaluation of the original variables in 9,519 consecutive elective surgical patients. Canadian Journal of Anesthesia, 2013, Vol. 60, No 9, pp. 855–863. doi: 10.1007/s12630-013-9988-5

16. Cohn S., Fernandez Ros N. Comparison of 4 cardiac risk calculators in predicting postoperative cardiac complications after noncardiac operations. The American Journal of Cardiology, 2018, Vol. 121, No 1, pp. 125–130. doi: 10.1016/j.amjcard.2017.09.031

17. Малкова М. И., Булашова О. В., Хазова Е. В. Персонифицированный подход к оценке периоперационного риска у пациентов с сердечно-сосудистой патологией в клинике неотложной помощи // Вестник современной клинической медицины. 2018. Т. 11, № 5. С. 62–68 [Malkova M. I., Balashova O. V., Khazova E. V. Personalized approach to the assessment of perioperative risk in patients with cardiovascular pathology in the emergency clinic. Bulletin of Modern Clinical Medicine, 2018, Vol. 11, No. 5, pp. 62–68 (In Russ.)]. doi: 10.20969/VSKM.2018.11(5).62-68

18. Halvorsen S., Mehilli J., Cassese S., et al. 2022 ESC Guidelines on cardiovascular assessment and management of patients undergoing non-cardiac surgery: Developed by the task force for cardiovascular assessment and management of patients undergoing non-cardiac surgery of the European Society of Cardiology (ESC) Endorsed by the European Society of Anaesthesiology and Intensive Care (ESAIC). European Heart Journal, 2022, Vol. 43, No 39, pp. 3826–3924. doi: 10.1093/eurheartj/ehac270

19. Котова Д. П., Котов С. В., Гиляров М. Ю. и др. Использование прогностических шкал в оценке периоперационных осложнений в практике врача-терапевта // Кардиоваскулярная терапия и профилактика. 2018. Т. 17, № 2. С. 75–80 [Kotova D. P., Kotov S. V., Gilyarov M. Yu., et al. The use of prognostic scales in the assessment of perioperative complications in the practice of a general practitioner. Cardiovascular therapy and prevention, 2018, Vol. 17, No. 2, pp. 75–80 (In Russ.)]. doi: 10.15829/1728-8800-2018-2-75-80

20. Джиоева О. Н., Драпкина О. М. Послеоперационная фибрилляция предсердий как фактор риска сердечно-сосудистых осложнений при внесердечных хирургических вмешательствах // Кардиоваскулярная терапия и профилактика. 2020. Т. 19, № 4. С. 112–118 [Dzhioeva O. N., Drapkina O. M. Postoperative atrial fibrillation as a risk factor for cardiovascular complications in extracardial surgical interventions. Cardiovascular therapy and prevention, 2020, Vol. 19, No. 4, pp. 112–118 (In Russ.)]. doi: 10.15829/1728-8800-2020-2540


Дополнительные файлы

1. Неозаглавлен
Тема
Тип Прочее
Скачать (396KB)    
Метаданные ▾
2. Р.Д. Кучев, К.С. Шуленин*, И.А. Соловьёв, Д.А. Суров, М.С. Коржук, В.Ю. Фи-липпов, М.С. Тюрюпов, Д.К. Шуленин
Тема кардиоваскулярный риск, внесердечные операции, госпитальная летальность, периопера-ционные осложнения, предоперационная подготовка, онкологические заболевания брюш-ной полости, хирургическое лечение, кардиоонкология.
Тип Результаты исследования
Скачать (396KB)    
Метаданные ▾
3. Неозаглавлен
Тема
Тип Исследовательские инструменты
Посмотреть (17KB)    
Метаданные ▾
4. Рис. 1. Распределение пациентов основной группы и группы сравнения по уровню периоперационного кардиоваскулярного риска (все различия недостоверны)
Тема
Тип author.submit.suppFile.figureResearchMaterials
Посмотреть (142KB)    
Метаданные ▾
5. Рис. 2. Распределение умерших в раннем послеоперационном периоде пациентов основной группы по категориям кардиоваскулярного риска (абс, %) и динамика госпитальной летальности (%)
Тема
Тип author.submit.suppFile.figureResearchMaterials
Посмотреть (134KB)    
Метаданные ▾
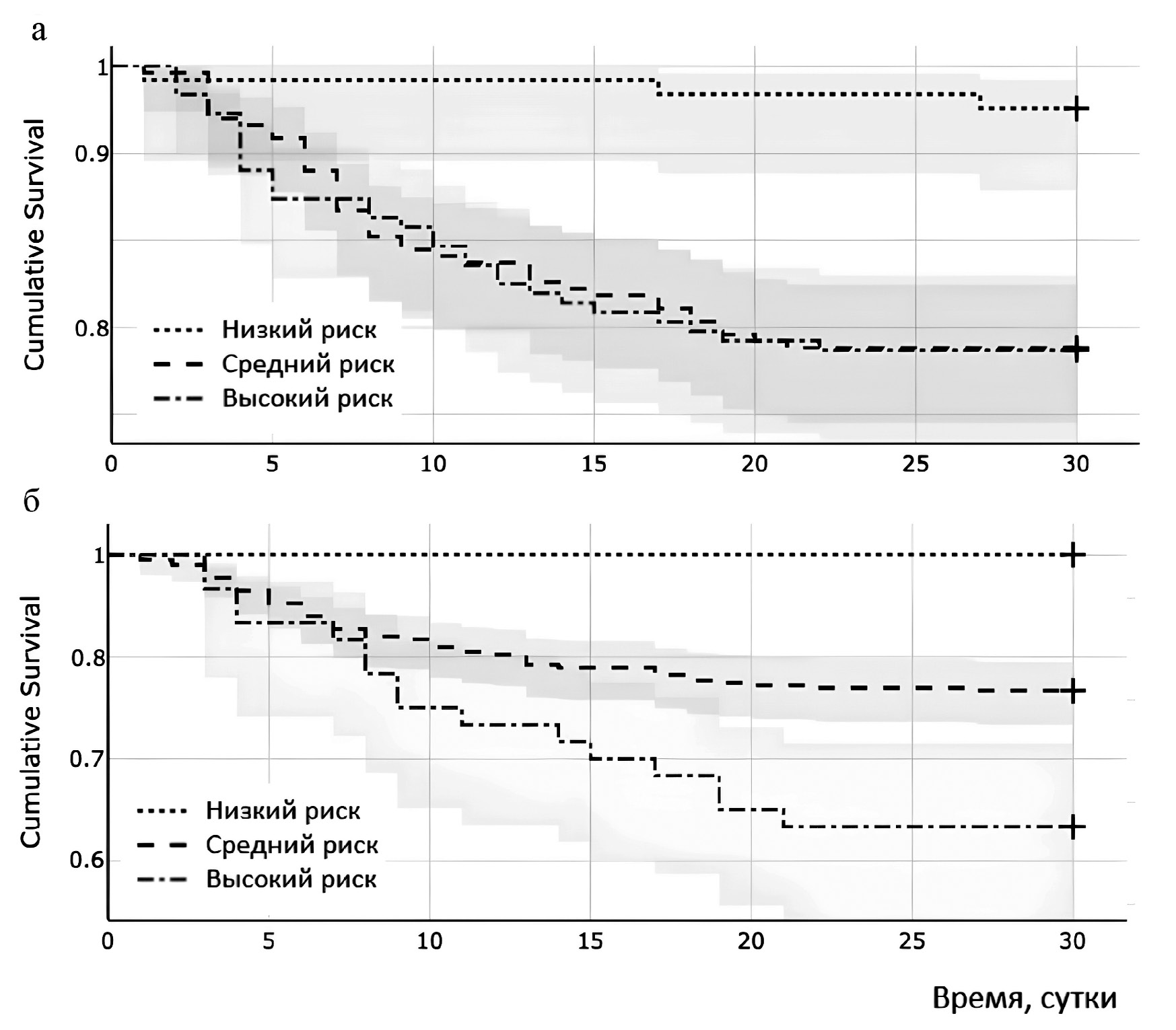
6. Рис. 3. Графики функции выживаемости пациентов основной группы в раннем послеоперационном периоде в зависимости от уровня периоперационного кардиоваскулярного риска (метод Каплана–Мейера): а – по индексуRCRI; б – по индексу NSQIP-MICA
Тема
Тип author.submit.suppFile.figureResearchMaterials
Посмотреть (264KB)    
Метаданные ▾
7. Рис. 4. Сравнение частоты периоперационных осложнений у пациентов основной группы и группы сравнения (все различия достоверны). ЖА – желудочковые аритмии, ОСН – острая сердечная недостаточность, НА – несостоятельность анастомоза, РИ – раневая инфекция, ОПН – острая почечная недостаточность.
Тема
Тип author.submit.suppFile.figureResearchMaterials
Посмотреть (111KB)    
Метаданные ▾
8. Рис. 5. Динамика выживаемости пациентов при реализации алгоритма дополнительного предоперационного обследования и подготовки пациентов к хирургическому лечению (метод Каплана–Мейера)
Тема
Тип author.submit.suppFile.figureResearchMaterials
Посмотреть (100KB)    
Метаданные ▾

Рецензия

Для цитирования:


Кучев Р.Д., Шуленин К.С., Соловьев И.А., Суров Д.А., Коржук М.С., Филиппов В.Ю., Тюрюпов М.С., Шуленин Д.К. Дифференцированный подход к предоперационной подготовке пациентов с различным кардиоваскулярным риском при местнораспространенном раке органов брюшной полости. Морская медицина. 2023;9(4):72-84. https://doi.org/10.22328/2413-5747-2023-9-4-72-84

For citation:


Kuchev R.D., Shulenin  K.S., Soloviev I.A., Surov D.A., Korzhuk  M.S., Filippov V.Yu., Tyuryupov  M.S., Shulenin D.K. Differentiated approach to preoperative preparation of patients with various cardiovascular risk in locally advanced cancer of abdominal organs: experimental study. Marine Medicine. 2023;9(4):72-84. https://doi.org/10.22328/2413-5747-2023-9-4-72-84

Просмотров: 25


Creative Commons License
Контент доступен под лицензией Creative Commons Attribution 4.0 License.


ISSN 2413-5747 (Print)
ISSN 2587-7828 (Online)