Assessment of microcirculation parameters, fraction of exhaled nitric oxide, endothelial functional state in operators of deep-sea technical means: clinical controlled non-randomized study
https://doi.org/10.22328/2413-5747-2024-10-4-92-102
Abstract
OBJECTIVE. By changing microcirculation parameters (MCC), fraction of exhaled nitric oxide (FeNO), the assessment of endothelial functional state in operators of deep-sea technical means (DTM), to evaluate effect of professional work factors on these parameters in isolation and to relate these changes to smoking and the previous novel coronavirus infection.
MATERIALS AND METHODS. The studied parameters were recorded in four time points: before simulating isolation conditions, during isolation on the 10th and 20th day, on the 7th day after leaving the research complex in the hospital. The total isolation period – 21 days. The subjects were divided into 4 groups: without a history of the novel coronavirus infection (COVID-19), who had suffered COVID-19, smokers and non-smokers.
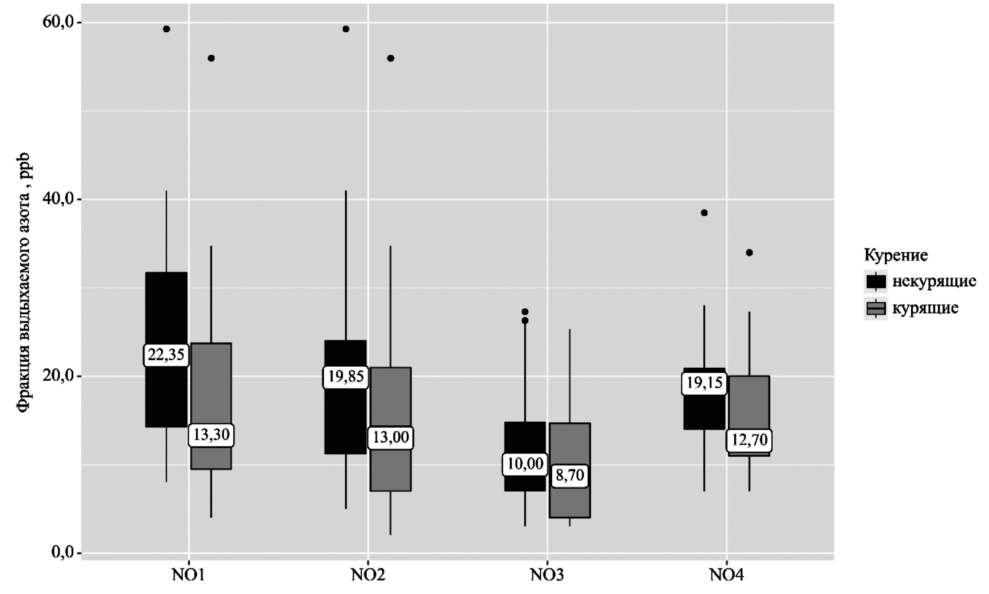
RESULTS. There were the obtained data on changes in MCC parameters as well as regulatory mechanisms of the microvascular channel. Adaptation mechanisms of MCC were determined in the examined contingent.
DISCUSSION. The study confirms the fact that when operators of DTM are placed in the same stressful working environment, mechanisms of the microvascular channel adaptation in smokers and persons, who have suffered COVID-19, are much weaker than in healthy non-smokers due to their endothelial dysfunction. In the conditions of monotonous hard work in a confined space the vascular endothelium is an important adaptation regulator.
CONCLUSION. Operators’ prolonged stay in special conditions of DTM causes the development of endothelial dysfunction. Smoking and the history of COVID-19 represent independent factors of a significant reduction in endothelium-dependent vasodilatation growth, the adaptive capacity of the microvasculature regardless of working conditions. One of MCC adaptation mechanisms in hypodynamy conditions with prolonged stay in the confined space of DTM is enhancing the role of the active endothelial component (Ae) in the microvasculature regulation.
About the Authors
Evgeny V. ChepigaRussian Federation
Senior resident of the Cardiology Department of the Department and Clinic of Naval Therapy
Dmitry V. Cherkarshin
Russian Federation
Dr. of Sci. (Med.), Professor, Head of the Department and Clinic of Naval Therapy
Dmitry S. Bogdanov
Russian Federation
Associate Professor of the Department and Clinic of Naval Therapy
Irina E. Sukhoroslova
Russian Federation
Head of the X-ray room of the Department and Clinic of Naval Therapy
Viktor A. Ulyatovsky
Russian Federation
Cand. of Sci. (Med.), lecturer at the Department and Clinic of Naval Therapy
Alexey S. Chuenkov
Russian Federation
Resident physician of the First Clinic of Advanced Medical Therapy
References
1. Соловьев А.Г., Ичитовкина Е.Г., Злоказова М.В., Давыдова Н.Е., Евдокимов В.И. Организация лечебно-реабилитационной помощи комбатантам с пограничными психическими расстройствами // Экология человека. 2019. № 5. С. 60-64. [Soloviev A.G., Ichitovkina E.G., Zlokazova M.V., Davydova N.E., Evdokimov V.I. Organization of medical and rehabilitation care for combatants with borderline mental disorders. Human Ecology. 2019, No. 5, рр. 60-64. (In Russ.)].
2. Ильина А. В. Особенности функциональной активности сердечно- сосудистой и дыхательной систем у операторов глубоководных технических средств в условиях психоэмоционального напряжения // Вестник Северо-Западного государственного медицинского университета им. И. И. Мечникова. 2016. Т. 8, № 3. С. 82–87 [Ilyina A. V. Features of the functional activity of the cardiovascular and respiratory systems in operators of deep-sea technical equipment in conditions of psychoemotional stress. Bulletin of the I. I. Mechnikov Northwestern State Medical University, 2016, Vol. 8, No. 3, pp. 82–87 (In Russ.)]. EDN XDDIGL.
3. Ильина А. В. Особенности психологического профиля и вегетативные нарушения в результате профессиональной деятельности у операторов сложных технических систем // Экология человека. 2013. № 2. С. 22–28 [Ilyina A. V. Features of the psychological profile and vegetative disorders as a result of professional activity in operators of complex technical systems. Human ecology, 2013, No. 2, pp. 22–28 (In Russ.)]. EDN PXSBVV.
4. Волков В. С. Оценка состояния микроциркуляции методом конъюнктивальной // Клиническая медицина. 1976. № 7. С. 115–119 [Volkov V. S. Assessment of the state of microcirculation by conjunctival biomicroscopy. Clinical medicine, 1976, No. 7, pp. 115–119 (In Russ.)].
5. Бурячковская Л. И., Мелькумянц А. М., Ломакин Н. В., Антонова О. А., Ермишкин В. В. Повреждение сосудистого эндотелия и эритроцитов у больных COVID-19 // Consilium Medicum. 2021. T. 23, № 6. C. 469–476 [Buryachkovskaya L. I., Melkumyants A. M., Lomakin N. V., Antonova O. A., Ermishkin V. V. Damage to vascular endothelium and erythrocytes in patients with COVID-19. Consilium Medicum, 2021, Vol. 23, No. 6, pp. 469-476 (In Russ.)].
6. Абдурахимов А. Х., Эргашева З. А., Хегай Л. Н. COVID-19 и дисфункция эндотелия (обзор литературы) // Life Sciences and Agriculture. 2021. 2 (6). C. 1–7 [Abdurakhimov A. H., Ergasheva Z. A., Hegai L. N. COVID-19 and endothelial dysfunction (literature review). Life of science and agriculture, 2021, 2 (6), pp. 1–7 (In Russ.)].
7. Михеенко П. В. Эндотелиальная дисфункция при новой коронавирусной инфекции COVID-19 // Мировая наука. 2022. 1(58). C. 106–116 [Mikheenko P. V. Endothelial dysfunction in the new coronavirus infection COVID-19. World science, 2022, 1(58), pp. 106–116 (In Russ)].
8. Valencia I., Lumpuy-Castillo J., Magalhaes G., et al. Mechanisms of endothelial activation, hypercoagulation and thrombosis in COVID-19: a link with diabetes mellitus. Cardiovasc Diabetol, 2024, Vol. 23, No. 1, pp. 75. https://doi.org/10.1186/s12933-023-02097
9. Минаков А. А., Волошин Н. В., Салухов В. В. Клинико-лабораторные особенности течения внебольничной пневмонии до пандемии и в период пандемии COVID-19 // Актуальные вопросы высокотехнологичной помощи в терапии: Материалы VII Всероссийской научно-практической конференции, Санкт-Петербург, 18–19 мая 2023 года / Под редакцией В. В. Тыренко. Санкт-Петербург: Военно-медицинская академия имени С. М. Кирова. 2023. С. 67–72 [Minakov A. A. Voloshin N. V., Salukhov V. V. Clinical and laboratory features of the course of community-acquired pneumonia before the pandemic and during the COVID-19 pandemic. Topical issues of high-tech care in therapy: Materials of the VII All-Russian Scientific and Practical conference, St. Petersburg, May 18-19, 2023 / Edited by V.V. Tyrenko. St. Petersburg: Military Medical Academy named after S. M. Kirov, 2023, pp. 67–72 (In Russ.)]. EDN FFCYIB.
10. Крюков Е. В., Савушкина О. И., Малашенко М. М. Влияние комплексной медицинской реабилитации на функциональные показатели системы дыхания и качество жизни у больных, перенесших COVID-19 // Бюллетень физиологии и патологии дыхания. 2020. Вып.78. С. 84–91 [Kryukov E. V., Savushkina O. I., Malashenko M. M. The influence of complex medical rehabilitation on the functional parameters of the respiratory system and the quality of life in patients who have undergone COVID-19. Bulletin of physiology and pathology of respiration. 2020. Issue 78. pp. 84–91 (In Russ.)]. doi: 10.36604/1998-5029-2020-78-84-91.
11. Явная И. К. Влияние курения табака на эндотелий сосудов и микроциркуляторное русло // Дальневосточный медицинский журнал. 2012. № 2. с. 138-139 [Yavnaya I. K. The effect of tobacco smoking on vascular endothelium and microcirculatory bed. Far Eastern Medical Journal, 2012, Vol. 2, pp. 138–139 (In Russ.)].
12. Ahovuo-Saloranta A., Csonka P., Lehtimäki L. Basic characteristics and clinical value of FeNO in smoking asthmatics-a systematic review. J Breath Res. 2019, 13(3), 034003. doi:10.1088/1752-7163/ab0ece
13. Al Khathlan N., Salem A. M. The Effect of Adiposity Markers on Fractional Exhaled Nitric Oxide (FeNO) and Pulmonary Function Measurements. Int J Gen Med, 2020, Vol. 13, pp. 955–962. doi: 10.2147/IJGM.S280395. PMID: 33149659; PMCID: PMC7605624.
14. Lior Y., Yatzkan N., Brami I., Yogev Y., Riff R., Hekselman I., Fremder M., Freixo-Lima G., Be’er M., Amirav I., Lavie M. Fractional exhaled Nitric Oxide (FeNO) level as a predictor of COVID-19 disease severity. Nitric Oxide, 2022, Vol. 124, pp. 68–73. doi: 10.1016/j.niox.2022.05.002. PMID: 35597408; PMCID: PMC9116042.
15. Чучалин А. Г. Роль оксида азота в современной клинической практике: научный доклад на V Всероссийском конгрессе «Легочная гипертензия» (13 декабря 2017 г.). Пульмонология. 2018. 28 (4). C. 503–511 [Chuchalin A. G. The role of nitric oxide in modern clinical practice: scientific report at the V All-Russian Congress “Pulmonary hypertension” (December 13, 2017). Pulmonology, 2018, 28 (4), pp. 503–511 (In Russ.)]. doi: 10.18093/0869-0189-2018-28-4-503-511
16. Celermajer D. S., Sorensen K. E. Non-invasive detection of endothelial dysfunction in children and adults at risk of atherosclerosis Lancet, 1992, Vol. 340, P. 1111–1115.
17. Мартынов А. И., Аветяк Н. Г., Акатова Е. В., Гороховская Т. Н., Романовская Г. А. Эндотелиальная дисфункция и методы ее определения // Российский кардиологический журнал. 2005. 24(4). С. 94–98 [Martynov A. I., Avetyak N. G., Akatova E. V., Gorokhovskaya T. N., Romanovskaya G. A. Endothelial dysfunction and methods of its determination. Russian Journal of Cardiology, 2005, 24(4), pp. 94–98 (In Russ.)].
18. Петросян К. Р., Автандилов А. Г. Структурно-функциональные изменения артерий у курящих мужчин в возрастном аспекте // Российский кардиологический журнал. 2008. № 3. C. 35–40 [Petrosyan K.R., Avtandilov A.G. Structural and functional changes of arteries in smoking men in the age aspect. Russian Journal of Cardiology, 2008, No. 3, pp. 35–40 (In Russ.)]
Supplementary files
|
1. Cover letter | |
| Subject | ||
| Type | author.submit.suppFile.coverLetter | |
Download
(3MB)
|
Indexing metadata ▾ | |
|
2. Conclusion on the possibility of open publication | |
| Subject | ||
| Type | common.other | |
Download
(3MB)
|
Indexing metadata ▾ | |
|
|
3. Analysis of the dynamics of the fraction of exhaled nitrogen depending on smoking | |
| Subject | ||
| Type | author.submit.suppFile.figureResearchResults | |
View
(236KB)
|
Indexing metadata ▾ | |
|
|
4. Fig. 1. Analysis of the dynamics of the fraction of exhaled nitrogen depending on smoking | |
| Subject | ||
| Type | author.submit.suppFile.figureResearchResults | |
View
(855KB)
|
Indexing metadata ▾ | |
|
|
5. Fig. 2. Analysis of the dynamics of the endothelial component (Ae) of microcirculation regulation | |
| Subject | ||
| Type | author.submit.suppFile.figureResearchResults | |
View
(387KB)
|
Indexing metadata ▾ | |
Review
For citations:
Chepiga E.V., Cherkarshin D.V., Bogdanov D.S., Sukhoroslova I.E., Ulyatovsky V.A., Chuenkov A.S. Assessment of microcirculation parameters, fraction of exhaled nitric oxide, endothelial functional state in operators of deep-sea technical means: clinical controlled non-randomized study. Marine Medicine. 2024;10(4):92-102. (In Russ.) https://doi.org/10.22328/2413-5747-2024-10-4-92-102


























